首 页    |   协会介绍    |   协会活动    |   书法培训    |   重要资讯    |   书家题字    |   网上展厅    |   篆刻艺术    |   艺术签名    |   联系我们   
协会动态
行业资讯
个人展厅
名家作品欣赏
会员作品欣赏
硬笔书法学堂
协会出版书籍
 

四川省硬笔书法家协会推介——四川硬坛百家:王文强

图片


编者的话:
       四川省文学艺术界联合会主管的四川省硬笔书法家协会,成立30多年来始终秉承文化自信,弘扬书法艺术,长期组织和引领广大会员坚持学习与创作,在硬笔书法事业的发展中涌现出一大批优秀的硬笔书法艺术家,他们取得的艺术成就和为发展繁荣四川硬笔书法事业做出的贡献,得到人们普遍认可和社会的广泛关注。我们通过“四川省硬笔书法家协会”平台陆续展示他们的艺术风采,向社会展现四川硬笔书法艺术家的整体风貌。

图片
图片
图片
个人简介      

王文强,男,四川省硬笔书法家协会理事,乐山市硬笔书法家协会主席助理兼创作委员会主任、乐山墨海书香书法艺术创始人。


部分获奖经历:


2021年“人人练字杯”四川省规范字现场比赛:特等奖

2025年"品翰堂杯”第十届中国硬笔书法公开赛:金奖

2025年“实斋奖”全国硬笔书法网络展:实斋奖(最高奖)



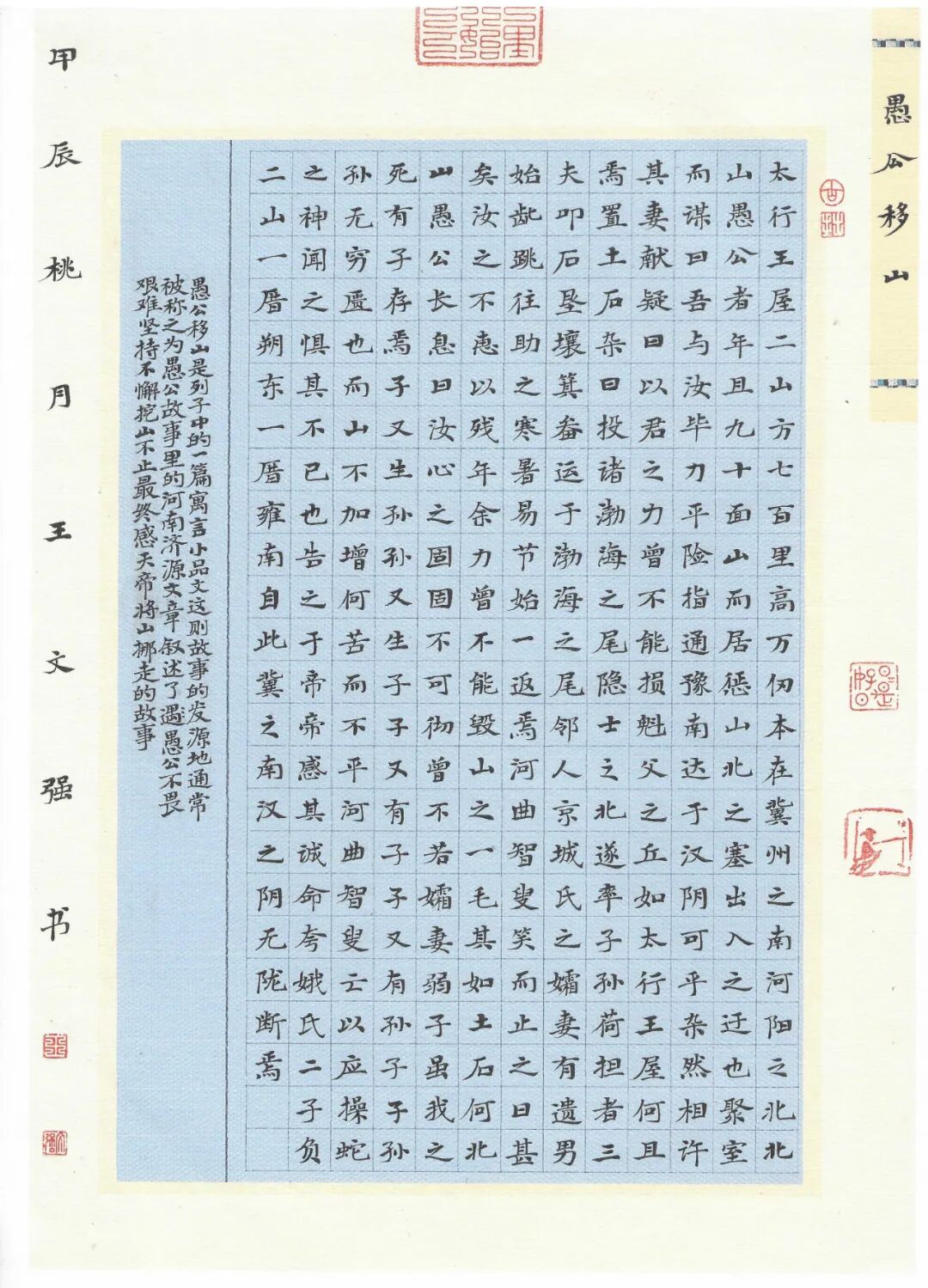
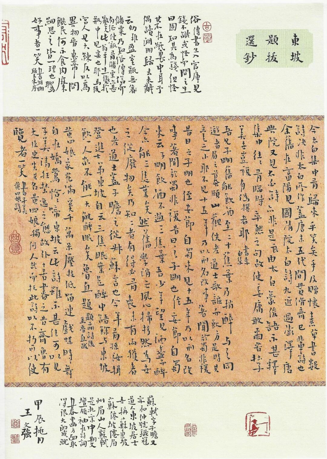
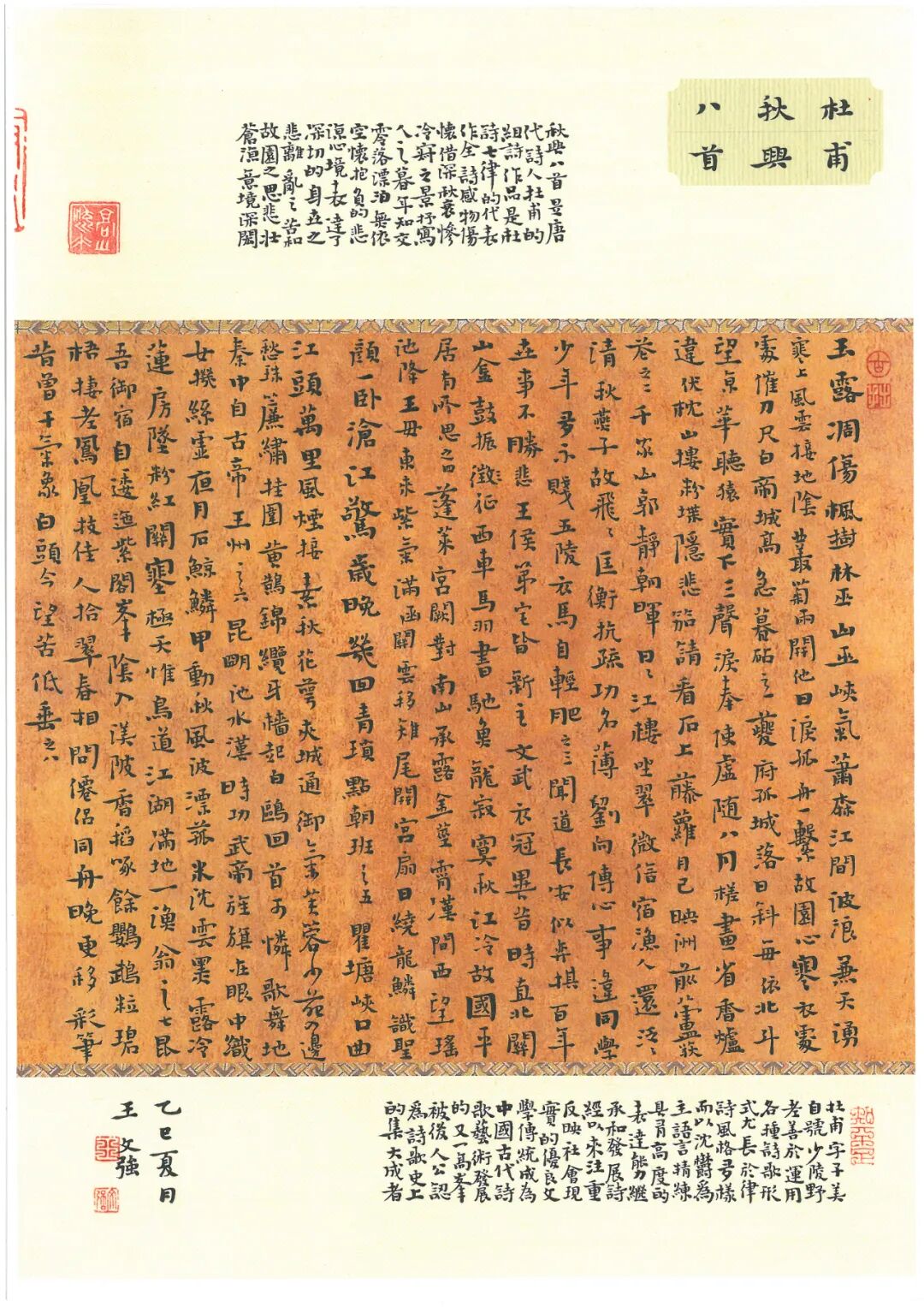
书法作品
图片
图片
图片
图片
图片

图片
图片
图片
图片
图片

四川省硬笔书法家协会
2025年10月15日




 
关于我们       |         协会部门设置       |         联系我们       |         法律顾问       |         友情连接       |         本站声明
版权所有 © 四川省硬笔书法家协会
咨询电话:15528254030  电子邮件:scybsfj@163.com
地址:四川成都市武侯区晋阳路184号金雁大厦5楼5-1A    备案号 :蜀ICP备08002920号-1